天然氣流量計是一種專門測量氣體的一款流量計。主要結構包括文丘里測量管體,前部起旋器、后部整流器、傳感頭、及溫度壓力組件組成。智能旋進旋渦流量計作為氣體流量測量的主要儀表,旋進漩渦流量計在氣田生產中得到了較為**的運用。采用*新微處理技術,具有功能強、流量范圍寬、操作維修簡單、安裝使用方便等優點;該智能旋進旋渦氣體流量計集流量、溫度、壓力檢測功能與一體,并能進行溫度、壓力自動補償,主要技術指標達到國外同類產品**水平。**應用于石油、化工、電力、冶金煤炭等行業各種氣體計量。
主要特點:
1.內置式壓力、溫度、流量傳感器,安全性能高,結構緊湊,外形美觀。
2.就地顯示溫度、壓力、瞬時流量和累積流量。
3.采用新型信號處理放大器和獨特的濾波技術,有效地剔除了壓力波動和管道振動所產生的干擾信號,大大提高了流量計的抗干擾能力,使小流量具有出色的穩定性。
4.特有時間顯示及實時數據存儲之功能,無論什么情況,都能保證內部數據不會丟失,可**性保存。
5.整機功耗極低,能憑內電池長期供電運行,是理想的無需外電源就地顯示儀表。
6.防盜功能可靠,具有密碼保護,防止參數改動。
7.表頭可180度隨意旋轉,安裝方便。
8.轉換器可輸出頻率脈沖、4~20mA模擬信號,并具有RS485接口,可直接與微機聯網,傳輸距離可達1200米。
9.整機功耗低,可用內電池供電,也可外接24VDC電源。
天然氣流量計工作原理:
智能旋進旋渦流量計的流量傳感器的流通剖面類似于文丘里管的型線(圖1)。在入口側安放一組螺旋形導流葉片,當流體進入流量傳感器時,導流葉片迫使流體產生劇烈的旋渦流。當流體進入到擴散段時,旋渦流受回流的作用開始作二次旋轉,形成陀螺式的渦流進動現象,該進動頻率與流量大小成正比,不受流體物理性質和密度的影響,檢測元件測得流體二次旋轉進動頻率就能在較寬的流量范圍內獲得較好的線性度。信號經前置放大器放大、濾波、整形轉換為與流速成正比的脈沖信號,然后再與溫度、壓力等檢測信號一起被送往微處理器進行積算處理,*后在液晶顯示屏上顯示測量結果(瞬時流量、累積流量及溫度、壓力等數據)。 
結構:
智能旋進旋渦氣體流量計由以下七個基本部件組成(圖1) 
1、旋渦發生體 2、殼體 3、智能流量計積算儀 4、溫度傳感器 5、壓力傳感器 6、壓電晶體傳感器 7、消旋器
1.旋渦發生體
用鋁合金制成,具有一定角度的螺旋葉片,它固定在殼體收縮段前部,強迫流體產生強烈的旋渦流。
2.殼體
本身帶有法蘭,并有一定形狀的流體通道,根據不同的工作壓力,殼體材料可采用鑄鋁合金或不銹鋼。3.智能流量積算儀
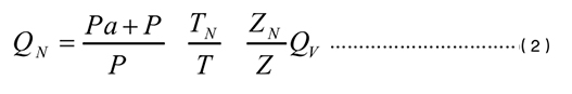
由溫度、壓力檢測模擬通道,流量檢測數字通道以及微處理單元,液晶驅動電路和其他輔助電路組成,并配有外輸出信號接口,流量積算儀由溫度赫壓力檢測模擬通道、流量傳感通道,以及微處理單元組成并配有外輸出信號接口,輸出各種信號,流量計中微處理器按照氣態方程進行溫壓補償,并自動進行壓縮因子修正,氣態方程如下:
式中:
QN標況下的體積流量(m3/h )
QV工況下的體積流量(m3/h )
T被測流體的**溫度(K)
P流量計取壓孔測量的表壓( KPa )
PN標準狀態下的大氣壓力( 101.325KPa )
TN標準狀態下的**溫度( 293.15K)
Pa當t大氣壓力(KPa)
Z氣體在工況下的壓縮系數
ZN氣體在標況下的壓縮系數
注:當用鐘罩或負壓標定時取ZNZ-1 ,對天然氣(ZN/Z ) 1/2-FZ為超壓縮因子,按中國石油天然氣總公司的標準SY/T6143-1996中的公武計算。
4.溫度傳感器
以Pt100鉑電阻為溫度敏感元件,在一定溫度范圍內,其電阻值與溫度成對應關系。
5.壓力傳感器
以壓阻式擴散硅橋路為敏感元件,其橋臂電阻在外界壓力作用下會發生預期變化,因此在一定激勵電流作用下,其兩個輸出端的電位差與外界壓力成正比。
6.壓電傳感器
安裝在靠近殼體擴張斷的喉部,可檢測出旋渦進動的頻率信號。
7.消旋器
固定在殼體出口段,其作用式消除旋渦流量,以減少對下游儀表性能的影響。
天然氣流量計主要技術參數:
公稱通徑DN(mm) | 類型* | 流量范圍(m3/h) | 工作壓力(MPa) | 精確度等級 | 重復性 |
20 | 1.2-1.5 | 1.6 2.5 4.0 6.3 10 16 | 1.0 1.5 |
≤2.5MPa 鋁合金
≥4.0MPa 不銹鋼
小于基本誤差限**值1/3 | |
25 | 2.5-30 | ||||
32 | 4.5-60 | ||||
50 | A型 | 10-150 | |||
B型 | 6-75 | ||||
80 | A 型 | 28-400 | |||
B型 | 18-200 | ||||
100 | A型 | 50-800 | |||
B型 | 40-60 | ||||
150 | A型 | 150-2250 | 1.6 2.5 4.0 | ||
B型 | 100-1200 | ||||
200 | 360-3600 |
*說明:A、B用以區別相同通徑不同流量范圍。
◆防爆標志
流量計為隔爆型,其防爆標志為Exd IIBT4和Exd IICT4 ~T6(不含乙炔)。
◆接線口
出線接口為M20*1.5內螺紋。
天然氣流量計選型:
代號 | 口徑 | 流量范圍m3/h | ||
XT-LUX-25 | DN25 | 2.5~30 | ||
XT-LUX-32 | DN32 | 4.5~60 | ||
XT-LUX-50 | DN50 | 10~150 | ||
XT-LUX-80 | DN80 | 28~400 | ||
XT-LUX-100 | DN100 | 50~800 | ||
XT-LUX-150 | DN150 | 150~2250 | ||
XT-LUX-200 | DN200 | 360~3600 | ||
代號 | 功能1 | |||
N | 無溫壓補償 | |||
Y | 帶溫壓補償 | |||
代號 | 輸出型號 | |||
F1 | 4-20mA輸出(二線制) | |||
F2 | 4-20mA輸出(三線制) | |||
F3 | RS485通訊接口 | |||
代號 | 功能2 | |||
E1 | 1.0級 | |||
E2 | 1.5級 | |||
T | 常溫 | |||
P1 | 1.6Mpa | |||
P2 | 2.5Mpa | |||
P3 | 4.0Mpa | |||
D1 | 內部3.6V供電 | |||
D2 | DC24V供電 | |||
B1 | 不銹鋼 | |||
B2 | 鋁合金 | |||




